【雇用統計~GOLD逆張りスキャル】のトレードの感想
最近はNODE HUNTER(ノード・ハンター)で主にトレードしています』✨
さて、今回は2月の雇用統計のトレードの結果になります。
今回は、非常に利食いに繋がり易い動きおパターンでしたね。
実際に「NODE HUNTER」私が行ったトレードの結果をお見せします。
どうぞ最後までお付き合いいただければ幸いです🌸
ゴールド(XAUUSD)+1290pips
✅発表後の【の急騰】→「反転」を狙ってエントリー
実際のトレードでは、ドル円の5分足も表示しながらポジションを取りました。
この時、同タイミングでドル円『買い』でもエントリーしていますが、スクショを取るのを忘れてしまいました💦
因みに、エントリーは、NODE HUNTERの「ドットサイン=ブレイク確定サイン」を確認してからになります。
このルールに従うことで、ダマしを大幅にカバーし、高勝率なタイミングでエントリーが可能となります。
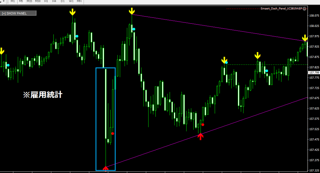
今回の雇用統計の様子
正直、発表の結果なんか見ていません【笑】
そんなものを見る暇があったら、ローソク足の動きに注目すべきです。
✅ゴールドは、発表後大きく上昇→その後一時下落
こんな感じでした。
流石にすべての動きに合わせて利食いを追求するのは、メンタル的にもよくないので
キリの良いところで撤退しました。
因みに、ドル円の動きはこんな感じでした▼
ドル円の様子

ドル円は、数時間かけてレンジに突入していますね。
一方、ゴールドはドル円とは対照の動きになりました。
ゴールドのその後の値動き

ゴールドは、今後も上がる可能性が高いとみています。
ノード・ハンターで「雇用統計」で利益に繋げるコツ
NODE HUNTERは、トレンドの天井と、ブレイクを感知するロジックです。
発表後直後はローソク足が大きく上下しやすいので、この流れには乗らないようにしています。
狙い目は、方向が確定後のドットサイン
今回は、ドル円、ゴールド共に発表後はきれいに上下してくれたので、利益に繋げやすかったと感じました。
この「ノードハンター式ルール」は、雇用統計字以外も共通です。

「トレンド転換の確認」、「ブレイク確定」全てシステム化されているので、決して難しく考える必要はありません。
因みに、この日のトレード結果は、雇用統計含めてこんなk何時です。

合計pips:+71.0 pips
| GOLD合計 | +99.7 pips |
| USD/JPY合計 | ±0 pips |
| GBP/USD合計 | -28.7 pips |
この日はちょい勝ちですが、この調子で頑張りたいと思います✨
狙った獲物は逃さない🔥
今後のドル円の予想
先週は「中東問題」によりドル円は一時的に「買い優勢」に。
昔から「有事のドル買」と言われ、経済や紛争などが起こると安全資産であるドルや、金が買われる傾向にあり、今回はゴールドがかなり強気の様子です。
ドル円の週足を見る限りでは、未だこの先も上昇する勢いが感じられます。
ドル円週足の様子 2026 3月7日

今回の雇用統計においても「見事なV字回帰」を見せたのも、買いの圧力が強い現れるではないでしょうか?
もしかしたら、今月中に再度160円に到達も十分考えられると思います。
そつなると、懸念さらるのは円安加速による物価高です。
こうした自体にきちんと耐えられるように、投資で少しも多くの資産を築きあげておくことに越したことは無いと思います。





